
Arithmetic Series
The series associated with an arithmetic sequence is known as an
arithmetic series. For example: 3 +
7 + 11 + 15 + 19 + 23 + 27 + 31 is the arithmetic series associated with the
arithmetic sequence: 3, 7, 11, 15, 19, 23, 27, 31.
Sum of Arithmetic Series
To derive the formula for the sum of arithmetic series, let us suppose an arithmetic series where
a be the first term, d be the common difference, n be the number of terms, l be
the last term and Sn be the sum of the n terms of an arithmetic
series (AS), then,
Sn = a + (a + d) + (a + 2d) + … … … + (l – 2d) + (l –
d) + l ………… (i)
Writing in the reverse order, we have,
Sn = l + (l – d) + (l – 2d) + … … … + (a + 2d) + (a +
d) + a ………… (ii)
Adding relations (i) and (ii), we get
2Sn = (a + l) + (a + l) + (a + l) + … … … + (a + l) +
(a + l) + (a + l).
or, 2Sn = n(a + l)

Again, the last term, l = a + (n – 1)d
![∴ Sn = "n" /"2" [a + a + (n – 1)d] ∴ Sn = "n" /"2" [2a + (n – 1)d]](https://blogger.googleusercontent.com/img/b/R29vZ2xl/AVvXsEhgisFKecr_4Ao6tV-HeKrUGTCo49ZsNzXUQtHzYaI9Pn75z61f4CzUoACwa9Jv8hiFog_HxmelJlWURoLqUAy-ssXRR_tkr8NUedNNdjczc4aKb3rR-_9w3wowr_nUq_KGgr3yRY6JhMU2mFvaH84T5xNkkmG_h1dxeqAF1O-N3UlR4SdpJhglA-1oVQ/s16000/2%20Sn%20formula.png)
Therefore, the sum of the arithmetic series can be found by using the following formulas:
![1. Sn = "n" /"2" (a + l) 2. Sn = "n" /"2" [2a + (n – 1)d]](https://blogger.googleusercontent.com/img/b/R29vZ2xl/AVvXsEjvtLTarGyF_rJoktVMml9IH4Q_6H58BSI3XxYomXwALBAtzutup0SynzHpNWb9jHJZDIIPm2GRfR_1VibaoWDcLeJt0NPUg-3uYQ9oiGRquRG4I6xt_FwwRbFuEZHQ8DM7YfU6IjGc4v_MhWkPZlraBhF8mLoj02q01sjxYTYNXTLymcK35vCPT0tIRA/s16000/sum%20of%20arithmetic%20series%20formulas.png)
********************
10 Math Problems officially announces the release of Quick Math Solver and 10 Math Problems, Apps on Google Play Store for students around the world.
********************
********************
Worked Out Examples
Example 1: Find the sum of the series 2 + 8 + 14 + 20 + … … … 20 terms.
Solution:
Here,
First term (a) = 2
Common difference (d) = 8 – 2 = 6
Number of terms (n) = 20
Sum (Sn) = ?
We Know,
![Sn = "n" /"2" [2a + (n – 1)d] or, Sn = "20" /"2" [2 × 2 + (20 – 1) × 6] or, Sn = 10(4 + 19 × 6) or, Sn = 10(4 + 114) or, Sn = 10 × 118 ∴ Sn = 1180](https://blogger.googleusercontent.com/img/b/R29vZ2xl/AVvXsEjpoLio2Dva-1FHRMOwEgccWHdl4RvkSJ3zxBPoPIRwuV9FvJ_kwRnn-7kzToiKdMzS1fPeyZa74IUqvUSXFQS936_b9yhcC-dbLBsxOIgDEmtMdeU8EfIOJtiDR6xOKMBefV_KBCPIWx93bK0vhms3X1IdkO1WXbKxLWV9nuJlxYLhzoQ8h7a-JXmefQ/s16000/Example%201.png)

Solution:
Here,
First term (a) = 22 ![]()

Number of terms (n) = ?
Sum (Sn) = ?
We know,
l = a + (n – 1)d

∴ n = 7
Now,

Hence, the required sum is 266.

Solution:
Given,

or, (12 – m)+ (15 – m)+ (18 – m)+ (21 – m) = 58
or, 12 – m + 15 – m + 18 – m + 21 – m = 58
or, 66 – 4m = 58
or, 4m = 66 – 58
or, 4m = 8
∴ m = 2

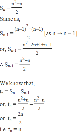
Solution:
Given,
![Sn = ("n" ^"2" "+n" )/"2" Same as, Sn-1 = (〖"(n–1)" 〗^"2" "+(n–1)" )/"2" [as n → n – 1] or, Sn-1 = ("n" ^"2" "–2n+1+n–1" )/"2" ∴ Sn-1 = ("n" ^"2" "–n" )/"2" We know that, tn = Sn – Sn-1 or, tn = ("n" ^"2" "+n" )/"2" "–" ("n" ^"2" "–n" )/"2" or, tn = "2n" /"2" i.e. tn = n](https://blogger.googleusercontent.com/img/b/R29vZ2xl/AVvXsEiJzLlVe2as5MjNPYQVPddXpp4S4Z53-HfknupHjhY82PAdxd8p6IbDCyBhx_eCaCFTI8CByTsuAa6xdFaIgst4pyogdLiaJnCFKzPxyKYw8Czo1QkLvuh5N3j_e4EM_MKKbqAcYTTsYdFQbvVxJVnTzqJDmoc1SYAvvPftWIpcl7gMQvakVERF76j39g/s16000/Example%204%20solution.png)
Example 5: How many terms of an AS 17 + 15 + 13 + … … are needed to give the
sum 80?
Solution:
Here,
First term (a) = 17
Common difference (d) = -2
Sum (Sn) = 80
Number of terms (n) = ?
By using formula,
![Sn = "n" /"2" [2a + (n – 1)d] or, 80 = "n" /"2" [2 × 17 + (n – 1) × -2]](https://blogger.googleusercontent.com/img/b/R29vZ2xl/AVvXsEi2_9NtNbC35c3qUP1wH6FMMlqYT3w6wzfoGynZKbSEZjffOtScJ8RwPzAlhPO3MIsmQezlzNrEfRHSkYdYD1chLI_TWyBFbJHOx_bq1S-S3iK_iIT7xehxwfaN9-1z6skp2NQLq2HoslDskaZtMnM-6CQywy16VkZuaY2TlDB3cuV9oQqJWDB8dyLeZw/s16000/Example%205%20using%20formula.png)
or, 2n2 – 36n + 160 = 0
or, n2 – 18n + 80 = 0
or, n2 – 10n – 8n + 80 = 0
or, (n – 10)(n – 8) = 0
∴ n = 8 or 10
Example 6: If the sum of the first 16 terms of an AS is 280 and the 6th
term of the series is 14. Find the sum of the first 21 terms.
Solution:
Let a be the first term and d be the common difference of the
given series.
Sum of 16 terms (S16) = 280
6th term (t6) = 14
By using formula, we have
![Sn = "n" /"2" [2a + (n – 1)d] or, S16 = "16" /"2" [2a + (16 – 1)d]](https://blogger.googleusercontent.com/img/b/R29vZ2xl/AVvXsEhXdppKr-PyzXgbMhpEVg_eMe6mmC0aEheMvxS8fTV3fI7fl5TqCgTebX1sUMpbrkAJ9j5b0RpB4nUKbxNaEIBnFg0GiK5kkyYQXHsDERyhe1wfRdrUxOBggS0FCHOPjNqh2sUP1Ea4ouaWzJPhmJ9V6kigVh2PiUPRJh8dYIXRkUjkTIAC56-ChXVXTg/s16000/Example%206%20using%20formula.png)
or, 2a + 15d = 35 …………… (i)
Again,
tn = a + (n – 1)d
or, t4 = a + (6 – 1)d
or, a + 5d = 14 …………… (ii)
Solving equations (i) and (ii), we get
%20and%20(ii).png)
a + 5 × 7/5 = 14
or, a + 7 = 14
or, a = 7
Now,
![Sn = "n" /"2" [2a + (n – 1)d] i.e. S21 = "21" /"2" [2 × 7 + (21 – 1) × 7/5] or, S21 = "21" /"2" [14 + 28] or, S21 = "21" /"2" × 42](https://blogger.googleusercontent.com/img/b/R29vZ2xl/AVvXsEifs9Mkl5QaTXMhHBEy1plF2Ao5OtySNfTEkLot4MeBjQG9U3dkn2ZYX8JLI-qPWU5p9M0Ztt2ut_Tyr5jpUcYUIkBbBIg5EXTcd_ER1y5MhimQR1261pac98ugVujlPt0WmWHIwF46yRFTOlwY5D02BvOsHFk9IIMxP3NvXmrUdelaJlTVdQmNPJc7Iw/s16000/Example%206%20now.png)
Hence, the sum of 21 terms of the series is 441.
Example 7: Find the sum of all natural numbers less than 100 which are exactly
divisible by 7.
Solution:
Here,
First term (a) = 7
Common difference (d) = 7
Last term (l) =98
Sum (Sn) = ?
Number of terms (n) = ?
By using formula,
l = a + (n – 1)d
or, 98 = 7 + (n – 1)7
or, 98 = 7 + 7n – 7
or, 7n = 98
or, n = 14
Hence by using formula,

∴ S14 = 735
∴ The required sum is 735.
Sum of the First n Natural Numbers
The first n natural numbers are 1, 2, 3, 4, … … … n.
Let Sn = 1 + 2 + 3 … … … + n
Here,
First term (a) = 1
Common difference (d) = 2 – 1 = 1
Number of terms (n) = n
Sum of first n terms (Sn) = ?
By using formula,
![Sn = "n" /"2" [2a + (n – 1)d] or, Sn = "n" /"2" [2 × 1 + (n – 1)1] or, Sn = "n" /"2" [2 + n – 1] ∴ Sn = "n(n+1)" /"2"](https://blogger.googleusercontent.com/img/b/R29vZ2xl/AVvXsEghVQsLZ8qlPjPXda_Vy0ZE191MOHa7iqeDud_lQl4-gQvERYOKLn9mqYk1t0RHuHmbzgoCb-NyXgh9OYCZ4ZP-MDdKxGYur9cQCaNWURiUVNxKqzYJJAIzHYayq0FTkcDtUoJdTGZJc59qphQuMhZfpK4fW5-uaGRwIYrUyPug_eOmn-66xEiLZSwSCg/s16000/sum%20of%20first%20n%20natural%20numbers.png)
Sum of the First n Odd Natural Numbers
The first n odd natural number are 1, 3, 5, … … …, (2n – 1)
Let Sn = 1 + 3 + 5 + … … + (2n – 1)
Here,
First term (a) = 1
Common difference (d) = 3 – 1 = 2
Number of terms (n) = n
Sum of n terms (Sn) = ?
By using formula,
![Sn = "n" /"2" [2a + (n – 1)d] or, Sn = "n" /"2" [2 × 1 + (n – 1) × 2] or, Sn = "n" /"2" [2 + 2n – 2] or, Sn = "n" /"2" × 2n ∴ Sn = n2](https://blogger.googleusercontent.com/img/b/R29vZ2xl/AVvXsEisP4kMUrSy7iWy1U7qeikMT7vwIAdRXA9B0YWsf7oJntmgxjAB2zLJNop3i1oxnoD_JMhyPxhG1_hoJa0NyUHSuSmL5PNkfPOdIP8Qj6Cgl3qeixKlyGZAg8jwXtQ6UcSk9lLGzevO2SX8_h3SfArG7imVTYpfuQLZHiZrMG_EqA-3tyfCfdQsiT2G_A/s16000/sum%20of%20first%20n%20odd%20natural%20numbers.png)
The Sum of the First n Even Natural Numbers
The first n even natural numbers are 2, 4, 6, … …, 2n.
Let Sn = 2 + 4 + 6 + … … + 2n
Here,
First term (a) = 2
Common difference (d) = 4 – 2 = 2
Number of terms (n) = n
Sum of n terms (Sn) = ?
By using formula,
![Sn = "n" /"2" [2a + (n – 1)d] or, Sn = "n" /"2" [2 × 2 + (n – 1)2] or, Sn = "n" /"2" [4 + 2n – 2] or, Sn = "n" /"2" × (2n + 2) ∴ Sn = n(n – 1)](https://blogger.googleusercontent.com/img/b/R29vZ2xl/AVvXsEiHexGnczKODZvO28zjRWO6dm-MzObGwbaXEdrRBkyziDoK44WU47jdG5mDhjVs9WsM-uckfTARsv4iqiQftfiGoSLAMj8T6qIhCJpB_dXGQmRgZL6Gwu_a6ymvVsQSVbXpUAkjUGsBPHkZfmPVVc_lDfJas5P4z_8Sf2xEpX4UcbcOvCHClTAXBH9dcQ/s16000/sum%20of%20first%20n%20even%20natural%20numbers.png)
Sum of the Squares of the First n Natural Numbers
The squares of the first n natural numbers are 12, 22,
32, … …, n2
Let Sn = 12 + 22 + 32
+ … … + n2
Consider the identity,
r3 – (r – 1)3 = r3 – (r3
– 3r2 + 3r – 1)
or, r3 – (r – 1)3 = 3r2 – 3r +
1
Putting r = 1, 2, 3, 4, … …, (n – 1), n
13 – 03 = 3.12 – 3.1 + 1
23 – 13 = 3.22 – 3.2 + 1
33 – 23 = 3.32 – 3.3 + 1
43 – 33 = 3.42 – 3.4 + 1
… … … … … … … …
(n – 1)3 – (n – 2)3 = 3(n – 1)2
– 3(n – 1) + 1
n3 – (n – 1)3 = 3n2 – 3n + 1
Adding above all identities, we have
n3 = 3(12 + 22 + 32 + … … + n2) – 3(1 + 2 + 3 + … … + n) + n

Sum of the Cubes of the First n Natural Numbers
The cubes of the first n natural numbers are 13, 23,
33, … …, n3.
Let Sn = 13 + 23 + 33
+ … … + n3
Consider the identity,
k4 – (k – 1)4 = k4 – (k4
– 4k3 + 6k2 – 4k + 1)
or, k4 – (k – 1)4 = 4k3 – 6k2
+ 4k – 1
Putting k = 1, 2, 3, 4, … …, (n – 1), n.
14 – 04 = 4.13 – 6.12
+ 4.1 – 1
24 – 14 = 4.23 – 6.22
+ 4.2 – 1
34 – 24 = 4.33 – 6.32
+ 4.3 – 1
44 – 34 = 4.43 – 6.42
+ 4.4 – 1
… … … … … … … … … …
(n – 1)4 – (n – 2)4 = 4.(n – 1)3
– 6.(n – 1)2 + 4.(n – 1) – 1
n4 – (n – 1)4 = 4.n3 – 6.n2
+ 4.n – 1
Adding all above identities, we have,
n4 = 4(13 + 23 + 33 + … … + n3) – 6(12 + 22 + 32 + … … + n2) + 4(1 + 2 + 3 + … … + n) – n

or, 4Sn = n(n + 1)(n2 – n + 1) + n(n + 1)(2n
+ 1) – 2n(n + 1)
or, 4Sn = n(n + 1)(n2 – n + 1 + 2n + 1 –
2)
![or, Sn = ("n" ("n+1" )"(" "n" ^"2" "+n)" )/"4" = "n" ("n+1" )" n(n+1)" /"4" ∴ Sn = ["n" ("n+1" )/"2" ]^"2"](https://blogger.googleusercontent.com/img/b/R29vZ2xl/AVvXsEhC-8srhaJyuND7BRiSRTNHgQf_ikDWxNE-Sycspgc9l-TpGD5mdNtfffStmrAcKlSulNg59tuk0E4AGdh-nRCRcbcrclrNeRjt80FWnVNiCvBH-Z0TxU50nqxVoqK1pIf68GBs7mugCgsq-e3ahr1SuZmvpPO7tg7kSCU8ayj3i_buStyXaGz1l7qSgg/s16000/sum%20of%20the%20cubes%202.png)
More Examples
Example 8: Find the sum of the following series:
a. 2 + 4 + 6 + … … … 12 terms
b. 13 + 23 + 33 + … … 10 terms
Solution:
a. The given series is 2 + 4 + 6 + … … … 12 terms
This is the sum of the first 12 even natural numbers.
Here, n = 12
∴ Sn = n(n + 1) = 12(12 + 1) = 156
b. The given series is 13 + 23 + 33
+ … … 10 terms
This is the sum of the cubes of the first 10 natural numbers
Here, n = 10
![∴ Sn = ["n" ("n+1" )/"2" ]^"2" or, Sn = ["10" ("10+1" )/"2" ]^"2" or, Sn = 552 = 3025](https://blogger.googleusercontent.com/img/b/R29vZ2xl/AVvXsEihHcwMBpPFDCb0p1vTpCIDw-JVDhv_K4ATaC8_wwjQ2S-eDPVg-dEFgp3atx0Fb-ilhhrGjR68ZaDE80A3ms5NXX_hjNLbYxWCDON0s0XJDj3NqmAsqYHKyZcVHiImBC6IwgJUcubryocxt7e5T1S0AfBwoa1sdhWIcVtzOOvSqhdU-IFHOknoiDZXDQ/s16000/Example%208%20Sn.png)
Example 9: The sum of three numbers in AP is 27 and the sum of their squares
is 293. Find the numbers.
Solution:
Let the three numbers in AP be a – d, a and a + d.
Then,
(a – d) + a + (a + d) = 27
i.e. a = 9
And,
(a – d)2 + a2 + (a + d)2 = 293
or, a2 – 2ad + d2 + a2 + a2
+ 2ad + d2 = 293
or, 3a2 + 2d2 = 293
or, 3 × 92 + 2d2 = 293
or, d2 = 25
or, d = 5
Hence, the required numbers are a – d, a and a + d.
i.e. 4, 9 and 14.
Example 10: Find nth term and the sum of n terms of the series 2×3 +
3×4 + 4×5 + … … n terms.
Solution:
The given series is 2×3 + 3×4 + 4×5 + … … n terms.
nth term of 2, 3, 4, … … = 2 + (n – 1)1 = n + 1
nth term of 3, 4, 5, … … = 3 + (n – 1)1 = n + 2
The nth term of the given series = (n + 1)(n + 2) = n2
+ 3n + 2
Sum of the series of n terms,
![Sn = ∑▒〖(n^2+3n+2)〗 or, Sn = ∑▒〖"n" ^"2" "+" ∑▒"3n" "+" ∑▒"2" 〗 or, Sn = ∑▒〖"n" ^"2" "+3" ∑▒"n" "+2n" 〗 or, Sn = "n" ("n+1" )"(2n+1)" /"6" + 3 × "n" ("n+1" )/"2" + 2n or, Sn = "n" /"6" [(n + 1)(2n + 1) + 9(n + 1) + 12] or, Sn = "n" /"6" [2n2 + 3n + 1 + 9n + 9 + 12] or, Sn = ("n(2" "n" ^"2" "+12n+22)" )/"6" or, Sn = "n" /"3" (n2 + 6n + 11) ∴ Sn = "n" /"3" (n2 + 6n + 11)](https://blogger.googleusercontent.com/img/b/R29vZ2xl/AVvXsEjsZadDkA7vhnrZdVrBn_QUKH0BGYo9_nW-IhAHYSYPKhUwK7QWGQLU7gdwI4X6gUTNtH_piMD8Gq_FXFinxmXhWTjGS1E789Ef_fpne_krH0a-XhGqOTbxMnQf8tIYsSlZAmo-6jwipcXDuSn3vRa1oI_sBUeB7qNhLDYx4L5cTEC2Rdi6voNkb251EQ/s16000/Example%2010%20Sum%20of%20the%20series%20Sn.png)


0 comments: