
Trigonometric Identities
A mathematical statement of equality involving the trigonometrical ratios with one or more variable angle and is true for any value of the angle is
called a trigonometric identity or trig identity.
********************
10 Math Problems officially announces the release of Quick Math Solver and 10 Math Problems, Apps on Google Play Store for students around the world.
********************
********************
Generally, α, β, θ, or A, B, C symbols are used for the variable angle in the trigonometric identities.
Here are some examples of trigonometric identities:

Standard Trigonometric Identities (Trig identities)
Here are some standard trigonometric identities (trig identities) considered as the trigonometric formulas as well:

Derived Trigonometric Relations:
We can derive some other trigonometric relations from the
standard trigonometic identities. Here are those derived trigonometric
relations:

How to Prove Trigonometric Identities?
To prove a trigonometric identity, we have to show that the
expressions on both the sides of equality sign are equal. For that, we take
left hand side (LHS) and simplify it to the expression equal to the right
hand side (RHS) or vice-versa.
We simplify the trigonometric expression by a process similar to
algebraic simplification. We can use almost all the algebraic formulas, methods
of factorization, rational simplification, division, multiplication, addition, and subtraction.
Moreover, we use here the standard trigonometric identities and
the derived relations as the formula while simplifying the trigonometric
expressions.
For example:
Prove: (sinθ + cosθ)2 = 1 + 2sinθcosθ
Solution: Here,
LHS = (sinθ + cosθ)2
= sin2θ
+ 2sinθcosθ + cos2θ [∵ (a + b)2 = a2
+ 2ab + b2]
= sin2θ
+ cos2θ + 2sinθcosθ
= 1 + 2sinθcosθ [∵ sin2θ
+ cos2θ = 1]
= RHS. Proved.
Rules for proving trigonometric identities
1.
Take LHS and simplify to
get RHS, if LHS is complicated.
2.
Take RHS and simplify to
get LHS, if RHS is complicated.
3.
If LHS and RHS both are
complicated, take LHS and RHS both and simplify them to a common result.
4.
If the given identity is
more complicated then change it to a simpler form by transposing or applying
the method of cross-multiplication. Then, prove the new identity by the above
procedure.
List of Trigonometric Formulas (Trig Formulas)

Proving Trigonometric Identities
Worked out Examples:
Example 1: Prove that: cosecA.tanA.cosA = 1
Solution: Here,
![LHS = cosecA.tanA.cosA = "1" /"sinA" . "sinA" /"cosA" . cosA [∵ cosecθ = "1" /"sinA" and tanθ = "sinA" /"cosA" ] = 1 = RHS. Proved.](https://blogger.googleusercontent.com/img/b/R29vZ2xl/AVvXsEh2JA9YF9bmhS_FFqigWkfkIxHdwixjoq9yMCzHtHGbG-q3DlScDGhGZnp2s2gPfklb5149iH4ECHOuYKZyv5IHRq4jJTnEeasdG2cfNBgo1SDj9Wup9hTKXS9j0uTv_NzA5maMANMjQTgp/s16000/example+1+trig+identity+proof.png)
Example 2: Prove that: sec2θ (1 – cos2θ) = tan2θ
Solution: Here,
![LHS = sec2θ (1 – cos2θ) = "1" /(〖"cos" 〗^"2" "θ" ) . sin2θ [∵ sec2θ = "1" /(〖"cos" 〗^"2" "θ" ) and 1 – cos2θ = sin2θ] = (〖"sin" 〗^"2" "θ" )/(〖"cos" 〗^"2" "θ" ) = tan2θ = RHS. Proved.](https://blogger.googleusercontent.com/img/b/R29vZ2xl/AVvXsEhcXabCIWC8dmyIxKHkZn9cr_ynNvD3tKzxfDvKuQfDWDB-YrCBGpV2RUkIgFSYq0wxnVbhbhk07tgagjUuxt_i8lKxqxJj-DCpKDewam0yeMLQ_uZcmpah473QafMl9T2euIHS8H9SC53D/s16000/example+2+trig+identity+proof.png)
Example 3: Prove that: sin2θ . tan2θ = tan2θ – sin2θ
Solution: Here,
![LHS = sin2θ . tan2θ = sin2θ . (sec2θ – 1) [∵ tan2θ = sec2θ – 1] = sin2θ . sec2θ – sin2θ = sin2θ . "1" /(〖"cos" 〗^"2" "θ" ) – sin2θ [∵ sec2θ = "1" /(〖"cos" 〗^"2" "θ" )] = (〖"sin" 〗^"2" "θ" )/(〖"cos" 〗^"2" "θ" ) – sin2θ = tan2θ – sin2θ [∵ (〖"sin" 〗^"2" "θ" )/(〖"cos" 〗^"2" "θ" ) = tan2θ] = RHS. Proved.](https://blogger.googleusercontent.com/img/b/R29vZ2xl/AVvXsEjPV4x2U4sgiDNzyNMV5RcaO4s2NZZ2F0z3LwPjvKY3o1dlWOIohDytO_JZvPjoMT4GnYquPLfDeoBgW9Du8DM9fIXHjan9PAfLDGeJTlkLQN_74wxjb4wXlNKaEVfZ_ombMxrLowWHgc_h/s16000/example+3+trig+identity+proof.png)
Example 4: Prove that: tan4A + tan2A = sec4A – sec2A
Solution: Here,
LHS = tan4A + tan2A
= tan2A
(tan2A + 1)
= (sec2A
– 1) sec2A
= sec4A
– sec2A
= RHS. Proved.
Example 5: Prove that:

Solution: Here,


Solution: Here,


Solution: Here,

Example 8: Prove that:

Solution: Here,
![LHS = ("tanA + secA" -" 1" )/"tanA – secA + 1" = ("(tanA + secA) – " 〖"(sec" 〗^"2" "A " -" " 〖"tan" 〗^"2" "A)" )/"tanA – secA + 1" [∵ 1 = sec2A – tan2A] = (("secA + tanA" )" – " ("secA + tanA" )"(secA " -" tanA)" )/"tanA – secA + 1" = ("secA + tanA" )"[1 – " ("secA " -" tanA" )"]" /"tanA – secA + 1" = ("secA + tanA" )"(1 – secA + tanA]" /"1 – secA + tanA" = secA + tanA = "1" /"cosA" + "sinA" /"cosA" = "1 + sinA" /"cosA" = RHS. Proved.](https://blogger.googleusercontent.com/img/b/R29vZ2xl/AVvXsEiysCYIUBgFqSc3BpXYrNd2aSZrMejRxxYi-pclwJUrYVbJCLuwILdIBTDd-GdEabU7UcuWnaSa3x7k1XNBVfz72urJtO3L_r2PjUI_nhXFp2qT6x7rMWXgFcod7RL7YjlLQGI6gRu0vBs-/s16000/example+8+trig+identity+proof.png)
Example 9: Prove that:

Solution: Here,
![LHS = "1" /"cosecA + cotA" – "1" /"sinA" = (" co" 〖"sec" 〗^"2" "A " -" " 〖"cot" 〗^"2" "A" )/"cosecA + cotA" – cosecA [∵ 1 = cosec2A – cot2A] = (" " ("cosecA + cotA" )"(cosecA " -" cotA)" )/"cosecA + cotA" – cosecA = cosecA – cotA – cosecA = – cotA RHS = "1" /"sinA" – "1" /"cosecA - cotA" = cosecA – (" co" 〖"sec" 〗^"2" "A " -" " 〖"cot" 〗^"2" "A" )/("cosecA " -" cotA" ) [∵ 1 = cosec2A – cot2A] = cosecA – (" " ("cosecA + cotA" )"(cosecA " -" cotA)" )/("cosecA " -" cotA" ) = cosecA – (cosecA + cotA) = cosecA – cosecA – cotA = – cotA ∴ LHS = RHS. Proved.](https://blogger.googleusercontent.com/img/b/R29vZ2xl/AVvXsEgj7UaxLtLO-y5fcvoVMEawMfShQBeoUvd1mL7kjx0kLrC0wgmcJ7earDtYmLXDhkjzZ0KG_j9AVRndGu6ndGmV8lQX51Rh_x-Bi0djaxJ6cEoHR89xy5qs8NOgY8jsKAIWoIBA3AFYDgey/s16000/example+9+trig+identity+proof.png)
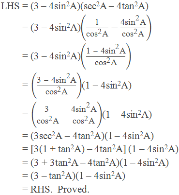
Example 10: Prove that: (3 – 4sin2A)(sec2A – 4tan2A) = (3 – tan2A)(1 – 4sin2A)
Solution: Here,
![LHS = (3 – 4sin2A)(sec2A – 4tan2A) = (3 – 4sin2A)("1" /(〖"cos" 〗^"2" "A" )-("4" 〖"sin" 〗^"2" "A" )/(〖"cos" 〗^"2" "A" )) = (3 – 4sin2A)(("1 " -" 4" 〖"sin" 〗^"2" "A" )/(〖"cos" 〗^"2" "A" )) = (("3 " -" 4" 〖"sin" 〗^"2" "A" )/(〖"cos" 〗^"2" "A" ))(1 – 4sin2A) = ("3 " /(〖"cos" 〗^"2" "A" )-("4" 〖"sin" 〗^"2" "A" )/(〖"cos" 〗^"2" "A" ))(1 – 4sin2A) = (3sec2A – 4tan2A)(1 – 4sin2A) = [3(1 + tan2A) – 4tan2A] (1 – 4sin2A) = (3 + 3tan2A – 4tan2A)(1 – 4sin2A) = (3 – tan2A)(1 – 4sin2A) = RHS. Proved.](https://blogger.googleusercontent.com/img/b/R29vZ2xl/AVvXsEi5bjikLxGS0MzorYdj2XurHNylnFZxnP024yqlUCVpzKumf5HbVV7O0C2nYMPN4LMRniRIkiDPd4JLcEYKd_krd2HqJ5wuFP4V9VU8sXNuDMt36xOYBkdxCDx59yBGPWKoYRQdkJloTQH8/s16000/example+10+trig+identity+proof.png)
Do you have any questions or problems regarding the Trigonometric Identities?
You can ask here, in the comment section below.
Was this article helpful? LIKE
and SHARE with your friends…


0 comments: